聚氨酯樹脂的固化
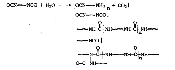
聚氨酯樹脂單組份預體膠的固化,單組份預聚體是帶有——NCO的彈性體高聚物,遇空氣中的潮氣即和H2O反應生成含有——NH2的高聚物,并進一步與——NCO反應生成含有脲基的高聚物,這些都屬于鏈增長反應:
.jpg)
這種濕固化型不需其他組份,使用方便,具有一定的強度和韌性。由于濕固化,膠層中有氣泡產生,——NCO含量越高,氣泡越多,因此預聚體的——NCO含量不能過高。此外,膠接強度受濕度影響很大,相對濕度大于90%時,凝膠時間約數小時,膠層中氣泡多,影響性能;相對濕度低于40%時,需一天以上才能凝膠,固化不完全。所以濕度以40%~90%之間為宜。
雙組分預聚體膠的固化
雙組份預聚膠的一組分是端基含有——NCO的預聚體;另一組是固化劑,如胺類化合物或含羥基化合物。固化劑的活性是不同的,一般胺類比醇類活性大,采用不同固化劑可以調節固化時間并獲得不同性能的聚氨酯。當預聚體——NCO含量高時,可用低分子二元醇或端基含——OH的聚酯、聚醚與固化劑并用,以改善預聚體膠的彈性。當預聚體——NCO含量低時,可以用多官能度的胺類或醇類,以獲得高度交聯的聚氨酯。
為了使用方便和延長有效期,可使用溶劑。溶劑必須不含水、醇或其他含活潑氫的化合物。常用的溶劑有乙酸乙酯、丙酮、甲乙酮、氯苯等。
三升貿易有限公司供應水性聚氨酯樹脂、水性丙烯酸樹脂、醇溶性樹脂,歡迎咨詢三升小莉:QQ 2091377794
                    下一篇:乳膠漆加色漿怎么調色?上一篇: 水性聚氨酯樹脂的形成
            
                此文關鍵字:水性聚氨酯
            
            
        同類文章排行
- 絲印油墨的消泡與脫泡問題
 - 水性柔板和凹版油墨,上光油消泡劑問題
 - 迪高消泡劑常見問題
 - 消泡劑是如何起作用的?
 - 脂方族水性樹脂,有什么特殊性能?
 - 醇溶性聚氨酯樹脂與水性聚氨酯樹脂有什么區別
 - 水性樹脂為什么對鋁的附著力不好,怎么解決
 - 分散高色素炭黑和普通炭黑要用不同的分散劑
 - 分散劑分散鈦白粉炭黑彩色為什么效果不一樣
 - 加消光粉后涂料表面顆粒感產生原因及解決方法
 
最新資訊文章
- 具有隔熱反射功能涂料的制備方法
 - 雙組份透明玻璃隔熱涂料配方及其制備方法
 - 自清潔有機硅改性丙烯酸樹脂隔熱反射涂料制備方法
 - 復合型水性丙烯酸隔熱涂料及其制備方法
 - 高固含量水性紫外光固化透明隔熱涂料及其制備方法
 - 環保型透明隔熱涂料配方及其制備方法
 - 納米ATO/TiO2填料水性聚氨酯隔熱透明涂料配方
 - 合成聚氨酯玻璃隔熱涂料配方及其制備方法
 - 環保隔熱涂料及其制備方法
 - 防水隔熱外墻涂料配方及其制備方法
 
您的瀏覽歷史
            





 